常熟市尚湖远眺(网络图片)
中秋时节去江苏省常熟市,游览了常熟闻名的尚湖。归来多日,那尚湖的影子却依然跟随着我——
常熟是山水相倚的城市,也是“长三角”的一颗明珠。尚湖景区水域面积800公顷,是国家AAAAA级旅游景区及首批国家城市湿地公园,属太湖风景区组成部分。它北依虞山,东接古城,既有山川之秀,又映古城风姿,更含水波柔情。尚湖周边水道棋布,分别与望虞河、张家港相通。
走进尚湖公园,迎面而来的是湿润、和煦的风,入眼的是碧波涟涟的水,相遇的是不紧不慢、悠闲自得的人,尚湖似一个休闲的吸纳瓶,进来了,你只有踏着它的步点走。
若要在众多游客中找个休闲人的代表,一定是那位手执钓竿、四平八稳、坐在尚湖岸边纹丝不动的垂钓者——姜太公。
尚湖公园的姜太公雕像(网络图片)
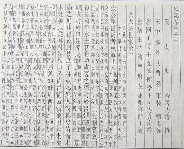
关于姜太公的传说,司马迁在《史记》中有详细记载:“太公望吕尚者,东海上人。其先祖尝为四岳,佐禹平水土,甚有功。虞夏之际封于吕,或封于申,姓姜氏。夏商之时,申、吕或封枝庶子孙,或为庶人,尚其后苗裔也。本姓姜氏,从其封姓,故曰吕尚。”(《史记》卷三十二,齐太公世家第二)
是说“太公望”吕尚的家居住在东海岛屿之上。他的先祖曾经位列“四岳”(尧舜时期四方部落的首领),因辅佐大禹治理水土有突出贡献,在虞夏时期受封地于“吕”,或受封地于“申”,以“姜”为姓氏。到了夏商时期,受封于申、吕的后裔们及后来分封的子孙们,或许也就成了普通的平民,吕尚就属他们之中的苗裔。尚本来姓“姜”,后来按祖上的受封地姓,所以就称为“吕尚”。
《史记》中还说:“吕尚盖尝穷困,年老矣,以渔钓奸周西伯。西伯将出猎,卜之,曰‘所获非龙非彨,非虎非罴;所获霸王之辅。’于是周西伯猎,果遇太公于渭之阳,与语大悦,曰:‘自吾先君太公曰:当有圣人适周,周以兴。子真是邪?吾太公望子久矣。’故号之曰'太公望’,载与倶归,立为师。”(《史记》卷三十二,齐太公世家第二)
是说吕尚早年或曾生计困窘,且年事已高,就用“渔钓”的方法,求取周西伯姬昌的赏识。彼时,西伯将要外出狩猎,先行卜筮,得卜辞说:“这次狩猎所获得的不是龙,也不是彨(传说中的无角龙);不是虎,也不是罴(棕熊,又叫马熊);所获得的将是辅佐君侯称霸天下的贤才。”于是,西伯就欣然出猎了。他果然在渭水北岸邂逅姜太公,与之交谈后欣喜不已。西伯兴奋地说:“我先君太公很早就说过:应该有圣人来我周地,周会因他而兴盛。先生可不就是那位圣贤么?我太公期望你的到来已经很久了。”因之,称吕尚为“太公望”。西伯与吕尚同车返回,拜其为国师。
《史记》卷三十二· 齐太公世家第二(局部)
后来,吕尚为西伯献策“修德以倾商政”,辅佐西伯整治内政、发展生产、联合诸侯,为灭商奠定了政治、经济、军事基础;他继任周武王军师,率军奇袭商都朝歌,“牧野之战”中他以少胜多,击溃商军主力,助武王灭商建周;周初,他辅佐周成王、周康王平定了“管蔡之乱”,巩固了西周政权,促成了“成康之治”。
吕尚受封于齐地(今山东一带),定都营丘(后称临淄),推行“因其俗、简其礼”、“通商工之业、便鱼盐之利”的政策,很快稳定了齐地,促使齐国成长为东方大国;相传他还著有《六韬》一书,系统地阐述了军事谋略和治国之道,被后世尊为“兵家鼻祖”。
而今,吕尚的渔钓雕像屹立在尚湖之滨,为尚湖增色,也为吕尚增荣。
掩卷静思,那《史记》上明明白白地写着西伯遇太公于渭水之北,也就是说吕尚当年渔钓是在渭水之畔。至今在渭水流域,依然流传着多处姜太公渔钓的遗址。著名的有陕西宝鸡市陈仓区天王镇磻溪河畔的钓鱼台,这里有一座上大下小的巨石,传说是太公当年从鱼腹中剖出的石粒变的,被称为“璜石”。它附近的另一块巨石上,还有两个类似膝盖跪下的窝痕,传说是太公钓鱼时跪坐的遗迹。另外,陕西咸阳市渭河岸边的钓台街钓鱼台村附近,曾有座“太公垂钓处”的石碑,据说这里也是太公当年渔钓的地方。
宝鸡市天王镇钓鱼台的“璜石”(网络图片)
咸阳市钓鱼台村附近的石碑(网络图片)
“周是兴起在渭水中游黄土高原上的一个古老部落。”(翦伯赞主编《中国史纲要》第一册)从地理位置上看,吕尚的渔钓位置应当在渭水流域。《武王伐纣平话》中亦说:“姜尚因命守时,立钩钓渭水之鱼,不用香饵之食,离水面三尺,尚自言曰:'负命者上钩来!’”这也是说吕尚的渔钓位置是在渭水流域。那么,距离渭水大约2300多里路的常熟为什么也会有他的钓鱼台呢?
查阅常熟市志中关于姜太公的传说,多是引用唐宋典籍佐证核心史实,并无长篇原创文章记述:
- 唐·陆广微《吴地记》:“(常熟海隅)山东二里有石屋,太公望避纣之处。”(此句被历代常熟县志多次援引,作为姜太公隐居虞山的关键依据)
- 宋·龚明之《中吴纪闻》:“海隅山有石屋十所,昔太公避纣居之,孟子谓居东海之滨者,此也。”
- 宋·《吴郡图经续记》:“常熟县海隅山,石室凡十所,相传太公避纣居之。《孟子》:‘太公避纣,居东海之滨’,常熟去海近,或是。”
- 明·相关县志援引《孟子·离娄》:“太公避纣,居东海之滨”,并佐证此处“东海之滨”即常熟虞山。
常熟市政府官网援引历代县志内容记载:“历代常熟县志中都记载有太公避纣隐居虞山石屋之说,有的志书称虞山东侧的石屋涧即为太公所居石屋之一,还说因为太公曾经垂钓于西湖,故西湖又称尚湖。”
此外,明嘉靖《常熟县志》在提及虞山遗迹时补充,海隅山(今虞山)的石屋遗迹与太公避纣传说相契合;后续清代、民国时期的常熟县志,均延续了“太公隐居虞山石屋、垂钓得名尚湖”的核心记述,内容多基于前代志书与唐宋典籍整合,无本质差异。
以上的观点,最早最有代表性的当属《孟子》的论述:“孟子曰:伯夷辟(避)纣,居北海之滨。闻文王作兴,曰:‘盍归乎来!吾闻西伯善养老者。’太公辟(避)纣,居东海之滨。闻文王作兴,曰:‘盍归乎来!吾闻西伯善养老者。’”(焦循著《孟子正义》·离娄章 句上)
《孟子正义》·离娄章句上(局部)
孟子是说,伯夷让国,遭逢纣王当政之世,所以避之而隐遁于北海之滨;太公吕尚也是为避纣王当道,而隐居于东海之滨。当他们听到周文王仁政兴邦、尊老养老传闻时,两人也都老了,所以,就往归于文王。
孟子是我国战国著名思想家、文学家,他大约出生于公元前372年,约卒于公元前289年;司马迁是我国西汉伟大的史学家、文学家,他大约出生于公元前145年,约卒于公元前87年。孟子在世的时间比司马迁早200余年,应该说,孟子的话是可信的。
那么,可以说常熟的尚湖是吕尚隐居东海之滨时的地域,其在吕尚渔钓,相会周文王之先;而渭水流域的太公钓鱼台则是吕尚相遇文王之处,它在吕尚垂钓尚湖之后。
尚湖因太公吕尚曾隐居该地而得名,吕尚渔钓的传说距今已3000多年了,斯人早去,但尚湖的风光却越来越美。太公当年为避纣暂栖此地,想也是荒野清静之所。而今尚湖之滨已是经济繁荣,环境优美,人民安居乐业的福地。看看那湖边优闲的遛狗老人,看看那草坪上蹒跚学步的幼童,再看看那环湖观光的游车和岸边星星点点矗立的彩色帐篷,倘若三千多年前的那位老人复活,他一定会更加喜欢这里的!
尚湖的水绿得透彻,晶莹得深邃。一艘游船驶过,激起层层涟漪,于是岸与水有了互动,在水波的拍动中,岸边的草黄了又绿,绿了又黄……尚湖像是历史老人手捧着的一只巨盆,水在盆中荡漾,尽显生命的活力而不外溢。
尚湖景色
尚湖是有山影的湖,尚湖是有城辉的湖,尚湖是有人文的湖,尚湖也是很少人工雕琢,保持着野性的湖。
杭州西湖的优美,扬州瘦西湖的精致,在尚湖似乎都能找到它们的影子。
离别尚湖,脑海中依然是尚湖,尚湖的历史、尚湖的传说、尚湖的自然美、尚湖的新辉煌、尚湖的美前景——
尚湖景色


还没有评论,来说两句吧...